คำตอบที่ 35
ปีนี้พี่แจ๊ค tw รักษาแชมป์ over all ได้อย่างสวยงามครับ...
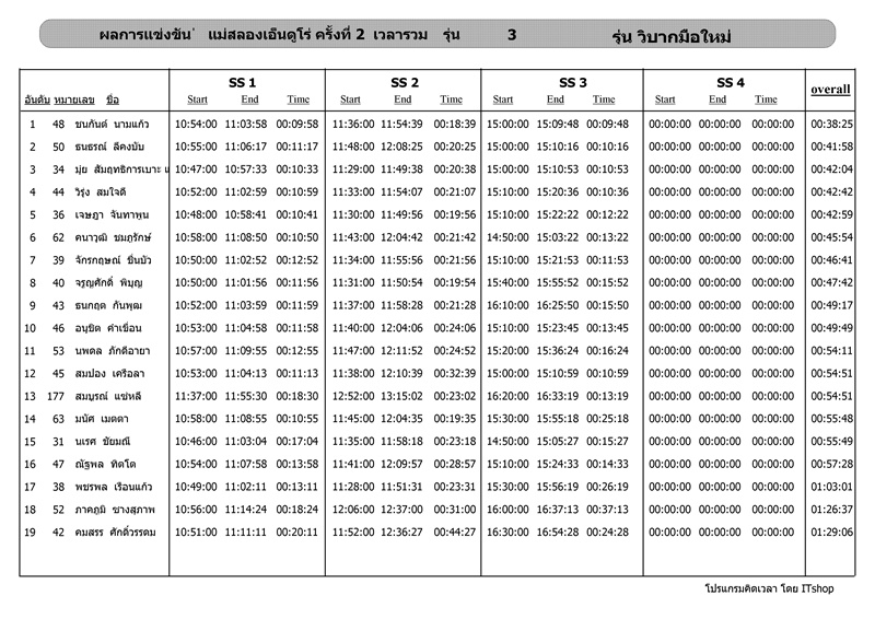
แต่เอส 3 ไปหลงในป่าด้วยกัน 30 กว่าคันครับ ไม่รู้ผีตัวไหนไปแกล้งสลับแอร์โล่....ดีนะที่ไม่มีอุบัติเหตุชนกันรุ่นแรง...คิดดู 30กว่าคันขี่สวนกันไปขี่สวนกันมาเพื่อหาทางออก... ต้นเอส 3 ผมออกตามพี่แจ๊ค หลงทั้งคู่ พี่แจ๊คสวนออกมาดีนะที่พวกเราไหวตัวกันทันเลยรอดตัวกันไป
ขี่วนไปขี่วนมาเพื่อหาทางออก...ซ้ายก็แล้วขวาก็แล้วเหมือนไปเที่ยวป่าเลยขี่ตามกันเป็นแถว..หลงตั้งแต่เบอร์ 1 เบอร์ 2 กันเลยทีเดียว...ขนาดโอเพ่นยังหลงแสดงว่าไม่ใช่ผีมือนักแข่งแล้วครับ...ต้องเป็นใครซักคนที่ไม่ประสงค์ผลแน่เลย...พวกเราลงมติเลยงดเอส3 ไปอัดเอส4 เอาครับ
